请输入您要查询的字词:

 

单词 volume of a solid of revolution
释义

volume of a solid of revolution

Let y = f(x) be the graph of a function f, a continuous function on [a,b], and such that f(x) ≥ 0 for all x in [a,b]. The volume V of the solid of revolution obtained by rotating, through one revolution about the x-axis, the region bounded by the curve y = f(x), the x-axis and the lines x = a and x = b, is given by

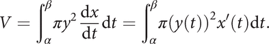
Parametric form

For the curve x = x(t), y = y(t) (t ε [α, β]), the volume V is given by

Compare area of a surface of revolution

随便看

 

数学辞典收录了4151条数学词条,基本涵盖了常用数学知识及数学英语单词词组的翻译及用法,是数学学习的有利工具。

 

Copyright © 2000-2023 Newdu.com.com All Rights Reserved
更新时间:2025/11/20 15:31:48