请输入您要查询的字词:

 

单词 Young's inequality
释义

Young's inequality

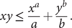
Given x,y > 0 and a,b > 1 such that 1/a + 1/b = 1, then

When a = b = 2, this is equivalent to the arithmetic-geometric mean inequality.

随便看

 

数学辞典收录了4151条数学词条,基本涵盖了常用数学知识及数学英语单词词组的翻译及用法,是数学学习的有利工具。

 

Copyright © 2000-2023 Newdu.com.com All Rights Reserved
更新时间:2025/10/14 18:55:01