请输入您要查询的字词:

 

单词 Abel's partial summation formula
释义

Abel's partial summation formula

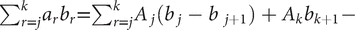
For two arbitrary sequences inline and inline with inline, the result that inline inline. This has some similarities with the formula for integration by parts.

随便看

 

数学辞典收录了4151条数学词条,基本涵盖了常用数学知识及数学英语单词词组的翻译及用法,是数学学习的有利工具。

 

Copyright © 2000-2023 Newdu.com.com All Rights Reserved
更新时间:2025/12/19 6:35:52