请输入您要查询的字词:

 

单词 Binomial Theorem
释义

Binomial Theorem

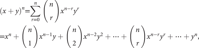
A generalization of formulae such as inline and inline used in elementary algebra. The Binomial Theorem states: for all positive integers n,

where inline (see binomial coefficient).

When y = 1, the theorem agrees with the terminating binomial series. There is a multinomial theorem for more general expansions such as (x1 + x2 + ··xk)n.

随便看

 

数学辞典收录了4151条数学词条,基本涵盖了常用数学知识及数学英语单词词组的翻译及用法,是数学学习的有利工具。

 

Copyright © 2000-2023 Newdu.com.com All Rights Reserved
更新时间:2025/11/12 19:44:09