| 释义 |
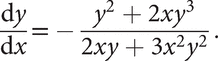
implicit differentiation When x and y satisfy a single equation, it may be possible to regard this as defining y as a function of x with a suitable domain (see implicit function theorem). Implicit differentiation involves applying the chain rule to obtain the derivative of y in such cases. For example, if xy2 + x2y3−1=0, then

and so, if 2xy + 3x2 y2 ≠ 0, 
|