| 释义 |
inverse hyperbolic function Each of the hyperbolic functions sinh and tanh is strictly increasing throughout the whole of its domain R, so in each case an inverse function exists. In the case of cosh, the function has to be restricted to a suitable domain (see inverse function), taken to be [0, ∞). The domain of the inverse function is, in each case, the image of the original function (after the restriction of the domain, in the case of cosh). The inverse functions obtained are: cosh−1:[1, ∞)→ [0, ∞); sinh−1: R → R; tanh−1: (−1, 1) → R. These functions are given by the formulae:

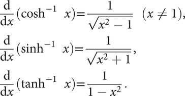
The following derivatives can be obtained: 
|