请输入您要查询的字词:

 

单词 Lagrange's equations
释义

Lagrange's equations

For a mechanical system with n degrees of freedom in which conservative forces act and all constraints are holonomic, the Lagrangian is L = T−V, where T denotes kinetic energy and V denotes potential energy. For a light pendulum of length l with a mass m at the end and making an angle θ with the downward vertical,

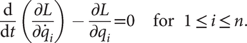
For such a system, defined by generalized coordinates q1, q2, …, qn, Lagrange's equations state that

In the example of the pendulum, this gives

See also Hamiltonian mechanics.

随便看

 

数学辞典收录了4151条数学词条,基本涵盖了常用数学知识及数学英语单词词组的翻译及用法,是数学学习的有利工具。

 

Copyright © 2000-2023 Newdu.com.com All Rights Reserved
更新时间:2025/12/13 12:53:38