请输入您要查询的字词:

 

单词 line
释义

line

(in two dimensions) A line can be determined by two points on the line or by a single point with the direction of the line. In two dimensions the direction can be specified by the gradient. There are a number of related standard formats for lines in a plane.

Slope‐intercept form.

y = mx + c. The line has a gradient m and intercept at (0,c). For a vertical line the gradient is infinite and the equation is x = k (in this case there is no intercept on the y-axis).

Two‐point form.

The condition that the general point P(x,y) lies on the line through A(x1,y1) and B(x2,y2) is equivalent to requiring the gradient of AP = the gradient of inline

Point‐slope form.

A line with gradient m passing through the point A(x1,y1) has equation y−y1 = m(x−x1).

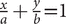
Two‐intercept form.

When the equation is written as inline the line cuts the axes at (a,0) and (0,b), making it very easy to draw the line.

随便看

 

数学辞典收录了4151条数学词条,基本涵盖了常用数学知识及数学英语单词词组的翻译及用法,是数学学习的有利工具。

 

Copyright © 2000-2023 Newdu.com.com All Rights Reserved
更新时间:2025/12/13 14:19:26