请输入您要查询的字词:

 

单词 product notation
释义

product notation

For a finite sequence a1, a2,…, an, the product a1 a2…an may be denoted, using the capital Greek letter pi, by

where r is a dummy variable. For example,

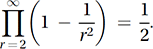
Similarly, from an infinite sequence a1, a2, a3,…, an infinite product a1a2a3…can be formed, and it is denoted by

This notation is also used for the limit of the infinite product, if it exists. For example

and also as in Wallis' product.

随便看

 

数学辞典收录了4151条数学词条,基本涵盖了常用数学知识及数学英语单词词组的翻译及用法,是数学学习的有利工具。

 

Copyright © 2000-2023 Newdu.com.com All Rights Reserved
更新时间:2025/12/21 10:00:21