请输入您要查询的字词:

 

单词 triangle
释义

triangle

A polygon with three vertices. As demonstrated in the first figure, the angles of a triangle ABC add up to 180°. By considering separate areas, illustrated in the second figure, the area of the triangle equals ‘half base times height'.

If now A, B, and C denote the angles of the triangle, and a, b, and c the lengths of the sides opposite them, the following results hold:

Proving the angle sum formula

Determining the area of a triangle

(i) The area of the triangle equals inline.
(ii) The sine rule:

where R is the radius of the circumcircle.

(iii) The cosine rule:

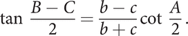
(iv) The tangent rule:

(v) Hero's formula: Let inline. Then the area of the triangle equals

See acute, obtuse, oblique, equilateral, isosceles triangle, right-angled triangle, scalene triangle, solution of triangles, spherical triangle.

随便看

 

数学辞典收录了4151条数学词条,基本涵盖了常用数学知识及数学英语单词词组的翻译及用法,是数学学习的有利工具。

 

Copyright © 2000-2023 Newdu.com.com All Rights Reserved
更新时间:2025/12/13 23:10:31