请输入您要查询的字词:

 

单词 asymptote
释义

asymptote

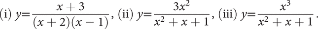
A line l is an asymptote to a curve if the distance from a point P to the line l tends to zero as P tends to infinity along some unbounded part of the curve. Consider the following examples:

Example (i) has x =−2 and x =1 as vertical asymptotes and y = 0 as a horizontal asymptote. Example (ii) has no vertical asymptotes and y = 3 as a horizontal asymptote. To investigate example (iii), it can be rewritten as

Then it can be seen that y = x−1 is a slant (or oblique) asymptote, that is, an asymptote that is neither vertical nor horizontal.

随便看

 

数学辞典收录了4151条数学词条,基本涵盖了常用数学知识及数学英语单词词组的翻译及用法,是数学学习的有利工具。

 

Copyright © 2000-2023 Newdu.com.com All Rights Reserved
更新时间:2025/10/14 23:28:56