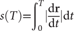
displacement The displacement of a point P from an origin O is the vector . The rate of change of displacement with time is velocity. Displacement is different from but not unrelated to distance. The distance of P from O is the magnitude of its displacement, but the distance travelled by P might be very different from its final displacement. If P has displacement r(t) for 0 ≤ t ≤ T, then the final displacement is

while the distance travelled is. 
|