请输入您要查询的字词:

 

单词 determinant
释义

determinant

For the square matrix A, the determinant of A, denoted by detA or |A|, can be defined as follows.

The determinant of the 1×1 matrix [a] is simply equal to a. If A is the 2×2 matrix below, then detA = ad−bc, and the determinant can also be written as shown:

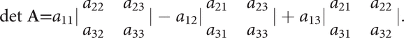
If A is a 3×3 matrix [aij], then det A, which may be denoted by

is given by

Notice how each 2×2 determinant occurring here is obtained by deleting the row and column containing the entry by which the 2×2 determinant is multiplied. This expression for the determinant of a 3×3 matrix can be written a11A11 + a12A12 + a13A13, where Aij is the cofactor of aij. This is the evaluation of detA, ‘by the first row'. In fact, detA may be found by using evaluation by any row or column: for example, a31A31 + a32A32 + a33A33 is the evaluation by the third row, and a12A12 + a22A22 + a32A32 is the evaluation by the second column. The determinant of an n×n matrix A may be defined similarly, as a11A11 + a12A12 + … + a1nA1n, and the same value is obtained using a similar evaluation by any row or column. These are known as the Laplace expansions of the determinant. However, calculating determinants this way is laborious; using elementary operations is much more efficient. The following properties hold:

(i) If two rows (or two columns) of a square matrix A are identical, then detA = 0.
(ii) If two rows (or two columns) of a square matrix A are interchanged, then only the sign of detA is changed.
(iii) The value of detA is unchanged if a multiple of one row is added to another row, or if a multiple of one column is added to another column.
(iv) If A and B are square matrices of the same order, then det(AB)=(detA) (detB).
(v) If A is invertible, then det(A−1)=(detA)−1.
(vi) If A is an n×n matrix, then det kA = kndetA.
(vii) detAT = detA, where AT is the transpose of A.
(viii) For an n×n matrix A, the map x ↦Ax scales area/volume by |detA| and is sense-preserving if detA > 0 and sense-reversing if detA < 0.
随便看

 

数学辞典收录了4151条数学词条,基本涵盖了常用数学知识及数学英语单词词组的翻译及用法,是数学学习的有利工具。

 

Copyright © 2000-2023 Newdu.com.com All Rights Reserved
更新时间:2025/12/13 16:26:38