请输入您要查询的字词:

 

单词 Fredholm integral equation
释义

Fredholm integral equation

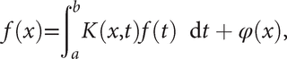
The integral equations

and

are respectively known as Fredholm equations of the first and second kind. Here φ and K are given and a solution f is sought.

Equations of the first kind often have no solution, or if a solution exists, it may not be unique or depend continuously on φ(x). Equations of the second kind can be shown to have a unique solution when K a continuous function with a suitably small norm.

随便看

 

数学辞典收录了4151条数学词条,基本涵盖了常用数学知识及数学英语单词词组的翻译及用法,是数学学习的有利工具。

 

Copyright © 2000-2023 Newdu.com.com All Rights Reserved
更新时间:2025/10/14 18:52:17