请输入您要查询的字词:

 

单词 Newton's interpolating polynomial
释义

Newton's interpolating polynomial

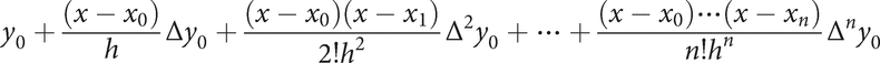
The polynomial of degree n, which interpolates n + 1 evenly spaced data points (x0,y0), (x1,y1),…, (xn,yn), where xk =  x0 + kh, is given by

where inline, inline, etc. which are obtained by constructing a forward difference table.

随便看

 

数学辞典收录了4151条数学词条,基本涵盖了常用数学知识及数学英语单词词组的翻译及用法,是数学学习的有利工具。

 

Copyright © 2000-2023 Newdu.com.com All Rights Reserved
更新时间:2025/12/13 10:58:37