请输入您要查询的字词:

 

单词 Bayes' Theorem
释义

Bayes' Theorem

Let A1, A2,…, Ak be mutually exclusive events whose union is the whole sample space of an experiment and let B be an event with Pr(B) ≠ 0. Then Pr(Ai|B) equals

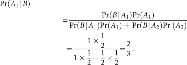
For example, let A1 be the event of tossing a double-headed coin and A2 the event of tossing a normal coin. Suppose that one of the coins is chosen at random so that inline and inline. Let B be the event of obtaining ‘heads'. Then inline and inline. So

This says that, given that ‘heads' was obtained, the probability that it was the double-headed coin that was tossed is 2/3.

Here, Pr(Ai) is a prior probability and Pr(Ai | B) is a posterior probability.

随便看

 

数学辞典收录了4151条数学词条,基本涵盖了常用数学知识及数学英语单词词组的翻译及用法,是数学学习的有利工具。

 

Copyright © 2000-2023 Newdu.com.com All Rights Reserved
更新时间:2025/11/16 23:42:53