请输入您要查询的字词:

 

单词 linear theory of equilibria
释义

linear theory of equilibria

For small perturbations about an equilibrium, terms of higher order than linear may be considered negligible (see linearization). Small angles θ, that a simple pendulum makes about the vertical, satisfy inline; this is SHM, which has small bounded trigonometric solutions, and so θ = 0 is a stable equilibrium. For θ = π + ε, that is, small perturbations about the upward vertical, we have

which has unbounded exponential solutions, and so θ = π is an unstable equilibrium.

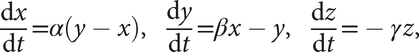
Linearizing about (0,0,0), the three equations governing the Lorenz attractor give

where α,β,γ > 0. So r(t) = (x(t), y(t),z(t))T satisfies

If the matrix has distinct real eigenvalues λ1,λ2,λ3 with eigenvectors v1,v2,v3, then the solution is

This is a small bounded solution if λ1,λ2,λ3 are all negative; so the origin is stable when β<1.

随便看

 

数学辞典收录了4151条数学词条,基本涵盖了常用数学知识及数学英语单词词组的翻译及用法,是数学学习的有利工具。

 

Copyright © 2000-2023 Newdu.com.com All Rights Reserved
更新时间:2025/12/13 15:05:43