请输入您要查询的字词:

 

单词 rate of convergence
释义

rate of convergence

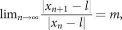
A sequence {xn} which converges to a limit l is said to have rate (or order) of convergence r ≤ 1 if there exists M such that

for sufficiently large n. For r = 1, it is further required that M ≤ 1. If r = 2, then the convergence is said to be quadratic. If r = 1 and

then the convergence is said to be superlinear, linear, or sublinear depending on whether m = 0, 0 < m < 1 or m = 1.

随便看

 

数学辞典收录了4151条数学词条,基本涵盖了常用数学知识及数学英语单词词组的翻译及用法,是数学学习的有利工具。

 

Copyright © 2000-2023 Newdu.com.com All Rights Reserved
更新时间:2025/12/13 14:22:34