请输入您要查询的字词:

 

单词 椭圆的性质
释义
  1. 椭圆的性质

1°     椭圆是到两定点(即焦点)的距离之和为常数(即长轴)的动点M的轨迹 (r1 +r2 = 2a).

2°     椭圆也是到一定点(即焦点之一)的距离与到一定直线(即一准线L)的距离之比为小于1的常数(即离心率)的动点M的轨迹(MF1/ME1 = MF2/ME2= e).

3°      椭圆是将半径为a的圆沿y轴方向按比(即压缩系数)压缩而得到.

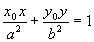
4°      椭圆上一点M(x0,y0)的切线(MT)方程为

 

切线把点M的两焦点半径间的外角(即∠F1MH)平分(a=b ,),M点的法线MN把内角(即∠F1MF2)平分(7.3)

如果椭圆的切线(MT)的斜率为k,则其方程为

 

式中正负号表示直径两端点的两切线.

5°     椭圆的任一直径把平行于其共轭直径的弦平分(7.4)

       如果两共轭直径的长分别为2a12b1,两直径与长轴的夹角(锐角)分别为a b ,a1b1sin(a + b )= ab      

a12 + b12 =a2 + b2

       6°     椭圆上任一点M的焦点半径之积等于它的对应半共轭直径的平方.

       7°     MM¢ , NN¢ 为椭圆的两共轭直径, 通过M,M¢ 分别作直线平行于NN¢ ; 又通过N, N¢ 分别作直线平行于MM¢ , 则这四条直线构成的平行四边形的面积为一常数4ab(7.5).

 

 

 

 

 

          (7.5)     
随便看

 

数学辞典收录了524条数学词条,基本涵盖了常用数学知识及数学英语单词词组的翻译及用法,是数学学习的有利工具。

 

Copyright © 2000-2023 Newdu.com.com All Rights Reserved
更新时间:2026/5/12 15:25:54